Predicting Fracture in Closed-Die Forgings
The enhanced method for estimating of the risk of fracture appearances in closed-die forging has been developed in this paper for hard-to-deform materials under process conditions, where a high vulnerability of fracture initiation during plastic deformation results from specific stress-strain state, non-uniformity of strain rate and temperature fields.
The methodology based on the forgeability compression test using a laboratory rig with the 5 MN hydraulic press and finite element simulation on QForm software while implementing the ductile fracture criteria at elaborated parameters has presented. The results have been verified at production conditions.
Thorough, cost-effective planning — New solutions in a forging technology (new component geometry or deformed material) often require predicting the formation of defects, which is best done during the process development stage, preferably with the most thorough and cost-effective approach. A development process supported with “failure prediction oriented” analysis will significantly reduce the number of tests and material losses for a trial batch.
However, efficient identification of the areas and conditions leading to defects formation (including cracks during forging) requires accurate studies to determine the final deformation and process parameters.[1-5]
Among the conditions leading to failure during bulk metal forming, the most common are those that result from processing conditions affecting viscous flow, e.g. temperature-compensated strain rate and/or intrinsic workability of the deformed material[6]. Both of these cases are observed in this report.
The first example is the warm forging process on the hammer mill, which combines advantages of hot (e.g., reduction of deforming force) and cold (e.g., no scale) metal forming operations,[1] On the other hand, the lower working temperature at increased strain rate results in lower forgeability and a higher probability of fracture.
Warm forging of AZ61 magnesium alloy is the example of another case, where Von Mises criterion of five independent slip systems is not fulfilled due to low forging parameters and intensive cooling in the thin-walled section. The bulk forgeability depends upon implementing proper technology while accounting for stress state dependent plasticity of the forged material, because of a complex stress-strain state of closed-die forging (hammer or screw press forging at relatively high strain rates.)
The fracture criteria have been studied intensively over recent decades and dozens of different equations may be found in the literature, based on different plasticity concepts while taking into account different thermo-mechanical parameters.[7,8] They cover a wide range of technological instances and require a wide spectrum of parameters to be included in the technology development process. On the other hand, it makes it hard to select an appropriate criterion for each case.
A cylindrical specimen is upset into a flat pancake in a traditional compression test and it is usually considered to be a standard bulk forgeability test.[1,3,7,8] The stress state observed in common workability tests is similar to that seen in many bulk deformation processes, without introducing the problems of necking (in the tension) or material reorientation (in the torsion.) Therefore, a high deformation value is reached before fracture occurs. The ultimate compression without failure by radial or peripheral cracking is considered as a forgeability measure.[3,5]
The results of fracture risk estimation have been presented for two different cases: hammer warm forging of surgical forceps, made of stainless steel; and screw press forging of a motorbike part, made of magnesium alloy. The research methodology combines a laboratory compression test and finite element simulation (FE simulation) of forging technology.
Experimental technique — The experiment involved uniaxial compression at different temperatures within the forging range. Flat surface tools made of cold-work tool steel were used. Dry frictional conditions were maintained to enhance surface deformation. A welded-on thermocouple and pyrometer were used to measure temperature during deformation, accompanied by plotting of the load digital camera recording to detect location and time of fracture initiation (see Fig. 1.)
Different geometries of specimens were involved (see Fig. 2) in experimental procedures indicating a higher sensitivity to stress concentration in the preceding numerical analysis. The compression tests were carried out on a laboratory rig based on a 5-MN hydraulic press. The press allows precise registration of process parameters, such as force, velocity and temporary position of the upper tool or temperature.
The investigated material was martensitic stainless steel, AISI 420, commonly used to manufacture forged parts such as surgical and dental instruments, cutlery, and various hand tools.[1] The magnesium alloy AZ61, considered to be a hard-to-deform material, was used for the second-stage investigation. This material is applicable to production of vehicle parts due to its low density and relatively high mechanical properties. However, problems with fractures appearing during deformation under unfavorable working temperature or high strain rate were observed (see Fig. 3), resulting from a very complex stress state and depending on forgeability of these forging process parameters.[2,4]
Simulation assumptions — Numerical simulation allows estimating the mechanical parameters of stress and deformation for several fracture criteria with following use for case studies of the presented industrial forging processes. Analyses of industrial production technologies preceded by another part of the study – numerical simulation of compression tests in order to determine a crack initiation moment and estimate the corresponding values of critical process parameters.
Numerical simulation has performed using the QForm software, based on finite element method (FEM) with implementation of Voronoi Cells method to calculate the fields of thermo-mechanical parameters in the deformed body.[9] The FE simulation involved analysis of three-dimensional strain state assuming of the visco-elastic-plastic material model of the deformed body and the elastic-plastic material model of die tools. Boundary nodal constraints in surfaces defined and coupled thermal-structural analysis has performed for accounting of real industrial process conditions. The Levanov friction law has used for specimen-tool contact surface[10].
Practical implementation of the compression test results focused on identifying areas of cracking appearance and determination of the selected component of stress or strain tensor. This part of analysis allows preliminary selection of specimens’ areas with a relatively high risk of crack initiation.
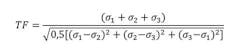
It is well known that the concentration of tensile or shear stresses promotes cracking of the material. The Triaxiality Factor has used in order to determine stress concentration areas, which allowed selection of tensile stress domination areas.
The analysis is aimed at determining parameters of two selected fracture criteria: Cockcroft & Latham (2) based on highest tensile stress σ1, and Rice & Tracey (3) which considering the hydrostatic σm and effective stress at the moment of crack initiation[1,7,8].
The results allowed extrapolation of the analysis to industrial forging processes of complex-shaped parts while considering the ultimate deformation established during compression tests. The dependences of selected process parameters on the thermo-mechanical parameters in the point of fracture initiation and method for calculation of a critical deformation value is based on the Cockcroft & Latham fracture criterion is presented in Figure 4[2].
Crack initiation risk analysis — Laboratory compression tests make it possible to determine both the failure strain and process parameters at the crack initiation point, while accounting for the most significant factors, such as the air cooling during transfer of specimens from the furnace to forging press, or cooling in die tools before deformation. It is possible to simulate parameters and conditions of many industrial processes in laboratory tests.
The presented method has been verified by a numerical analysis of closed-die forging processes of complex shape parts. The surgical forceps with a visible fracture in the flash area propagating to the final product is presented in figures 6a and 6b. The second part was a component of motorbike handle (Fig. 6c and 6d) with several defects identified (including fractures in the area of the final product and flash.)
It is essential to separate metal flow-related defects, like laps or flow-through defects, from those defects caused due to insufficient workability, as established from the forging practice. FE simulation for estimating of conditions leading to fracture formation helps to identify the location and fracture conditions in forged pieces.
The results of compression test and numerical simulation ensured the development of material models and fracture models for analysis of forging technologies. Examples of parameter distribution maps are presented in figures 7 and 8. The main result of the analysis is the point of maximum fracture initiation risk (point P) in the case of the surgical forceps (see Fig. 7.) The highest values of tensile and mean stresses were observed at this point. Consequently, maximum values of the Cockcroft & Latham fracture criterion may be found at this point, too.
Analysis of distributions of fracture criteria values (see Fig. 7c, 8d) indicated the fracture appearance area, which is highly vulnerable to the crack initiation in both analyzed cases. Crack initiation parameters have been identified by comprehensive analysis of simulation results. In the case of the surgical forceps forging, a high tensile-stress concentration in the area of fractures resulted from specific geometry of the workpiece. Simulation carried out for the part of the motorbike handle determined an extremely low temperature at the fracture initiation point. Consequently, the presented approach allowed changing parameters of the workpiece geometry, configuration of the blocker impression, as well as selecting of forging process conditions at the technology development stage.
Toward new guidelines — The methodology for estimation of the fracture initiation risk based on the laboratory uniaxial compression test and numerical simulation has presented in this paper. The research results have validated by analysis of two industrial closed-die forging processes of materials with different crystallographic structure and forging conditions, commonly referred to as hard-to-deform while forging on a high-speed press. The distribution maps of fracture criteria parameters calculated using FEM and implemented models ensured accurate prediction of fracture location. The presented study provides a sufficient reliability and may become a basis for the development of guidelines on improvement the geometry of billets or workpieces, forging parameters, and making possible to prevent from crack initiation during the forging process.
Professors Łukasz Lisiecki and Piotr Skubisz are attached to the Faculty of Metals Engineering and Industrial Computer Science, AGH University of Science and Technology, Kraków, Poland. Contact Prof. Lisiecki at [email protected]
Stanislav Kanevskiy and Paul Mordvintsev represent QFX Simulations Ltd. Contact them at [email protected]
The authors acknowledge the financial assistance of AGH UST, agreement no. 11.11.110.292.
References
[1] Lisiecki, Ł., Skubisz, P., Karwan, J.: "Prediction and investigation of fracture initiation in warm forging of martensitic stainless steel with aid of FEM simulation", Computer Methods in Materials Science, 15, 2 (2015) 346-352.
[2] Lisiecki Ł., Skubisz P.: "Analysis of the impression-die forging process of hard-to-deformation magnesium alloys with regard to fracture occurrence", Rudy i Metale Nieżelazne Recykling, 12 (2015), 664–668 (in Polish.)
[3] Lisiecki, Ł., Skubisz, P.: "Elaboration of ductile fracture criteria based on punching forgeability test", Computer Methods in Materials Science, 16, 1 (2016), 382-394.
[4] Suresh, K., Rao, K. P., Prasad, Y. V. R. K., Hort, N., Kainer, K. U.: "Study of hot forging behavior of as-cast Mg–3Al–1Zn–2Ca alloy towards optimization of its hot workability", Materials and Design, 57 (2014), 697–704.
[5] Guo J., Liao B., Liu L., Li Q., Ren X., Yang Q.: "Forging limit of a novel high-speed-steel cold work roll based on ductile fracture criteria by finite element model", Materials and Design, 52 (2013), 1027-1034
[6] T. G. Byrer, S. L. Semiatin, D. C. Vollmer: Forging Handbook. Forging Industry Association. American Society of Metals, Cleveland, OH, 1985
[7] Gouveia, B.P.P.A., Rodrigues, J.M.C., Martins, P.A.F.: "Ductile fracture in metalworking: experimental and theoretical research", Journal of Materials Processing Technology, 101 (2000), 52–63.
[8] Saanouni, K.: "On the numerical prediction of the ductile fracture in metal forming", Engineering Fracture Mechanics, 75 (2008), 3545–3559.
[9] Vlasov A, Biba N., Stebunov S.: "Elastic-Plastic Thermomechanical Fatigue Analysis of Forging Dies", Key Engineering Materials, 716 (2016), 667-676
[10] QForm documentation. Part 4. "Theoretical environment. Friction at plastic deformation", 45-50.
About the Author
Lukasz Lisiecki
Professor Łukasz Lisiecki is attached to the Faculty of Metals Engineering and Industrial Computer Science, AGH University of Science and Technology, Kraków, Poland. Contact Prof. Lisiecki at [email protected]
Piotr Skubisz
Professor Piotr Skubisz is attached to the Faculty of Metals Engineering and Industrial Computer Science, AGH University of Science and Technology, Kraków, Poland.

